Waktu Berbuka Negeri Sembilan

Negeri sembilan 2020 jadual waktu berbuka puasa dan imsak.
Waktu berbuka negeri sembilan. Jadual waktu berbuka puasa tahun 2020 bagi negeri sembilan termasuk waktu imsak sepanjang bulan ramadan. Jadual rasmi ini dikeluarkan oleh jabatan kemajuan islam malaysia jakim untuk panduan anda. Berikut dikongsikan jadual waktu berbuka puasa negeri sembilan beserta dengan waktu imsak sahur tahun 2020 bersamaan dengan 1441 hijrah buat panduan warga negeri. Lampiran takwim atau takwim buka puasa imsak dan sahur di bulan ramadhan tahun 2020 masihi bersamaan 1441 hijrah bagi seluruh kawasan di negeri sembilan n9.
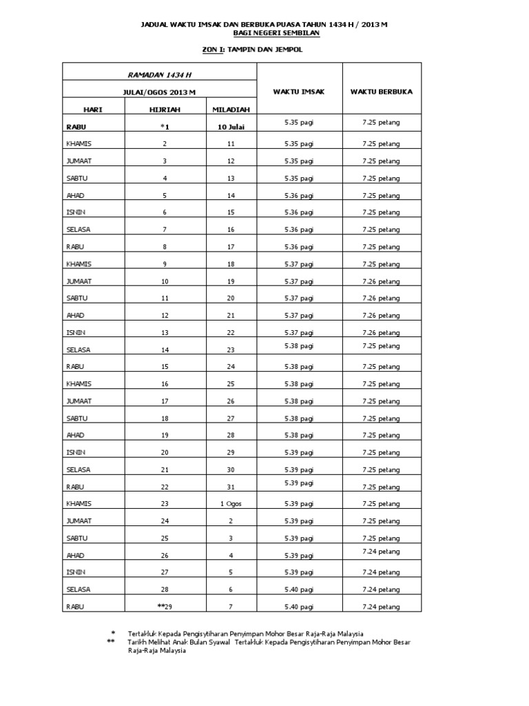
Jadual waktu imsak dan berbuka puasa tahun 1441 h 2020 m bagi seluruh negeri sembilan zon 2 seremban p dickson k pilah rembau dan jelebu radan 1441h waktu imsak waktu berbuka april mei 2020 m hari hijriah miladiah jumaat 1 24 april 5 45 7 17 sabtu 2 25 5 44 7 17 ahad 3 26 5. Seremban port dickson kuala pilah rembau dan jelebu ramadan 1440h mei jun 2019m waktu imsak waktu berbuka hari hijriah miladiah isnin 1 6 mei 5 33 pagi 7 16 malam selasa 2 7 5 33 7 16 rabu 3 8 5 33 7 16. Jelebu jempol kuala pilah port dickson rembau seremban tampin. Jadual waktu imsak dan berbuka puasa tahun 1440h 2019m bagi seluruh negeri negeri sembilan zon 2.
Jadual waktu berbuka puasa dan imsak 2020 1441h disediakan oleh pihak jakim bagi membantu seluruh umat islam di negeri sembilan. Jadual berbuka puasa waktu seremban negeri sembilan seremban waktu berbuka 19 17 masa puasa 13 jam 29 minit. Johor kedah kelantan kuala lumpur labuan melaka negeri sembilan pahang perak perlis pulau pinang putrajaya sabah sarawak selangor terengganu. Sempena dengan ketibaan bulan ramadhan yang penuh keberkatan ini berikut dikongsikan jadual waktu berbuka puasa dan imsak negeri sembilan bagi tahun 2020 1441 hijrah.
Jadual waktu solat seremban. Jadual rasmi waktu berbuka puasa ramadhan 2020 negeri sembilan. Jadual waktu berbuka puasa dan imsak negeri sembilan 2020. Berikut adalah lampiran jadual waktu imsak dan berbuka puasa di bulan ramadan tahun 1440h 2019m bagi seluruh kawasan atau zon zon di negeri sembilan terbitan oleh jabatan kemajuan islam malaysia jakim.